Câu chuyện 10 năm: Cả một thập kỷ khủng hoảng khí hậu thực sự đáng sợ, vậy mà loài người đã chẳng thể làm được gì
2010s là thập kỷ loài người nhận thức rõ về vấn đề biến đổi khí hậu nhất. Nhưng chúng ta làm được gì? Không gì cả!
- Bầu trời Australia chuyển màu đen kịt như mực ngay giữa trưa, thảm hoạ cháy rừng kinh hoàng ngày càng chuyển biến xấu
- Vì sao mũi của loài voi lại tiến hóa để dài như vậy?
- Bất ổn kẹp chặt thế giới: Hơn 10 vạn nhà khoa học tuyên bố tình trạng đáng sợ của Trái Đất
- Người đàn ông Úc giữ hòn đá quý suốt nhiều năm vì tưởng là vàng, hóa ra nó là thứ khoáng vật ngoài không gian còn đáng giá hơn
- Tội phạm khét tiếng bậc nhất ở Hoa Kỳ bỗng chốc trở thành chuyên gia nghiên cứu về chim sau khi vào tù

Thập niên 2010 có thể nói là thời điểm con người nhận thức rõ ràng nhất cái gọi là "biến đổi khí hậu". Ngay từ đầu thập kỷ, cụm từ "biến đổi khí hậu" được các chuyên gia dần chuyển thành "khủng hoảng khí hậu", rồi "tình trạng khí hậu khẩn cấp", nhằm nhấn mạnh sự nghiêm trọng và những hệ quả có thể xảy ra từ việc Trái đất đang dần nóng lên.
Con người nhận thức được điều đó, và đi kèm là những động thái khá rõ hệt. Năm 2015, nhiều quốc gia đã đồng loạt ký vào Hiệp định Paris phòng chống biến đổi khí hậu, nhằm giới hạn mức nhiệt gia tăng trên toàn Trái đất ở mức 1,5 độ C so với thời kỳ tiền cách mạng công nghiệp.
"Các quốc gia đã cùng nhau có một lựa chọn mang tính lịch sử," - Tổng thư ký Liên hợp quốc (LHQ - UN) khi ấy là Ban Ki-moon đã phát biểu như vậy. "Họ đã quyết định cùng nhau chung tay giải quyết một trong những vấn đề khó khăn nhất của thời đại chúng ta."
Nhưng những mĩ từ ấy, nói ra thì dễ hơn làm. Nhìn lại thập niên đã qua, có thể thấy mọi chuyện chẳng hề đi đúng hướng.

Xét cho cùng, loài người đã chẳng làm được gì
Tháng 6/2017, tổng thống Mỹ Donald Trump đã ra thông báo Hoa Kỳ sẽ tiến hành rút khỏi Hiệp định Paris được ký kết năm 2015. Năm 2018, khi tổng thống đương nhiệm Brazil Jair Bolsonaro đắc cử, quá trình tàn phá rừng Amazon bắt đầu gia tăng không kiểm soát. Nước Úc hiện tại có một vị thủ tướng ủng hộ nhiên liệu hóa thạch, từng đứng tay cầm một cục than mà hô vang "Đừng sợ!". Còn Trung Quốc - một trong những nguồn phát sinh khí thải nhà kính lớn nhất, vẫn đang có những nhà máy nhiệt than hoạt động hết công suất.
Theo thống kê của Climate Action Tracker, hiện chỉ có 2 quốc gia là Morocco (Ma-rốc) và Gambia đang đưa ra các chính sách nhằm đạt được những gì đã ký trong Hiệp định Paris. Hay nói cách khác là thập niên vừa qua, chúng ta đã thất bại trước biến đổi khí hậu, để rồi Trái đất phải chứng kiến vô số những kỷ lục hết sức đáng ngại: từ cháy rừng, cho đến những ngày hè nóng nhất lịch sử vừa xảy ra.

Amazon cháy kỷ lục - ảnh minh họa
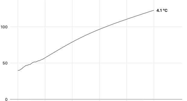
Để giúp bạn hiểu rõ hơn một chút về câu chuyện này, hãy xem qua biểu đồ dưới đây do Climate Interactive - một tổ chức phi lợi nhuận thực hiện, bằng cách sử dụng hệ thống mô phỏng ảnh hưởng từ các lựa chọn của con người hiện nay.

Đây là năm 2010. Cột bên trái lượng CO2 phát thải, trục dưới là số năm

Đây là năm 2020 - chúng ta đã chẳng thể cắt giảm được lượng CO2 trong suốt 10 năm qua, dù hoàn toàn ý thức về điều đó

Nếu không làm gì thì đây là những gì sẽ xảy ra vào cuối thế kỷ 21: sẽ tăng ít nhất 4,1 độ C

Nếu thực hiện những gì đã cam kết vào lúc này, chúng ta chỉ có thể đạt được kết quả rất khiêm tốn: nhiệt độ tăng 3,4 độ C, khiến tương lai trở nên rất khó sống.

Việc giữ nhiệt độ gia tăng ở mức 1,5 độ C chỉ có thể đạt được nếu chúng ta bắt đầu cắt giảm 4,5% lượng khí thải từ 10 năm trước

Sẽ là thực sự khó khăn nếu bắt đầu từ bây giờ và muốn đạt được mục tiêu đó. Thế giới phải cắt giảm ít nhất 8% lượng khí carbon thải ra mỗi năm

Nếu trì hoãn lâu hơn đến năm 2030 thì sao? Mục tiêu ấy sẽ trở thành không tưởng, khi không những phải cắt giảm 10% lượng khí thải mỗi năm, mà còn phải tìm cách loại bỏ CO2 ra khỏi khí quyển từ năm 2060
Nhìn vào biểu đồ trên, thực sự có rất ít chuyên gia tin vào kế hoạch cắt giảm 8% lượng CO2 vào năm 2030 là khả thi. "Việc ngăn chặn cột mốc 1,5 độ C sắp trở nên không tưởng," - báo cáo của LHQ trong tháng 11/2019 đã đề cập như vậy.
"Về mặt lý thuyết, chúng ta có thể đạt được điều đó. Nhưng càng đợi lâu thì càng khó," - trích lời Lori Siegel, chuyên gia từ Climate Interactive.
Để loại bỏ CO2 ra khỏi khí quyển phụ thuộc vào rất nhiều yếu tố: trồng rừng hàng loạt và sự tiến bộ trong công nghệ. Nhưng cả 2 hiện chưa thể có hiệu quả nếu áp dụng vào quy mô cần thiết cho sự thay đổi.

Biến đổi khí hậu - gấu Bắc Cực chẳng còn chốn dung thân
Cần biết rằng ngay cả khi đạt được mục tiêu khống chế nhiệt độ ở mức 1,5 độ C, mọi chuyện cũng không phải tốt đẹp. Ở mức độ đó, chúng ta có thể mất 70% các rạn san hô. Và nếu mức nhiệt là 2 độ C, toàn bộ sẽ biến mất.
"Mỗi gigaton khí thải giảm đi đều có ý nghĩa," - Katharine Hayhoe, chuyên gia khí hậu tại ĐH Công nghệ Texas cho biết. "Cắt giảm càng nhanh, hiệu ứng có lợi sẽ càng đến sớm."
Theo thống kê, số năng lượng dùng để vận hành nền kinh tế thế giới đang là một trong những nguyên nhân lớn nhất khiến Trái đất nóng lên. Theo Hayhoe, việc thay thế than đá, khí tự nhiên... bằng năng lượng từ Mặt trời, gió, hạt nhân... là giải pháp tốt.
Tiếp sau đó là câu chuyện về nông nghiệp. Cần phải sử dụng đất một cách hiệu quả hơn, hạn chế lãng phí, đặc biệt là thực phẩm. Không chỉ là câu chuyện về CO2, mà còn là khí methane do ngành chăn nuôi thải ra - loại khí nhà kính ghê gớm hơn carbonic nhiều lần.
Nguyên nhân thứ 3 là các phương tiện giao thông - thứ sử dụng xăng dầu là chủ yếu.
Chúng ta phải làm gì bây giờ?

Không một cá nhân nào có thể tự mình thay đổi nền kinh tế trên toàn cầu. Nhưng liệu chúng ta có thể làm được gì? Trước tiên, hãy xét đến một vài con số!
Ngày nay, khoảng 2% tổng lượng khí nhà kính trên toàn thế giới đến từ các chuyến bay. Trong vòng 5 năm tính đến năm 2018, lượng khí nhà kính từ loại hình này đã tăng 32%.
Nhu cầu di chuyển thì ai cũng có. Việc bạn từ bỏ một chuyến du lịch sẽ chẳng giúp gì nhiều cho Trái đất. Nhưng nếu mỗi năm bạn di chuyển quá nhiều thì khác, cần cân nhắc giảm bớt lại. Theo thống kê, chỉ 12% người Mỹ đã chiếm 68% tổng số các chuyến bay của quốc gia này. Với số liệu như vậy, lượng CO2 từ máy bay thậm chí đã vượt qua cả ô tô và các phương tiện khác.

Tiếp theo là một vấn đề... kỳ cục hơn: thịt bò. Rất nhiều chuyên gia đã nhận xét rằng thịt bò là một trong những nguyên nhân gây ảnh hưởng đến khí hậu nhiều nhất. Bởi lẽ, chăn nuôi bò cần đến một lượng đất lớn khủng khiếp, và mỗi lần chúng "ợ hơi" lại thải ra một lượng lớn khí methane. Tính trung bình, mỗi 50g protein từ thịt bò phải chịu trách nhiệm cho khoảng 17,7kg CO2, trong khi gà và đậu nành lần lượt chỉ chiếm khoảng 2,9kg và 0,4kg.
Theo tính toán của UN vào năm 2013, 6% tổng lượng khí nhà kính trên thế giới là do thịt bò. Hiện tại, lượng tiêu thụ thị bò tại Mỹ đã giảm, nhưng vẫn gấp 4 lần so với lượng trung bình trên thế giới. Vậy nên hiển nhiên, cách để giảm khí nhà kính chính là giảm bớt lượng tiêu thụ thịt bò lại, dù thực sự rất khó.

Thịt bò - ngon lành đấy, nhưng hóa ra cũng có hại cho môi trường
Và xét cho cùng, việc chống lại tác động của khủng hoảng khí hậu không phải là vấn đề của từng cá nhân. Các quốc gia, các nhà chính sách cần sớm đưa ra những giải pháp cho câu chuyện này, nếu không muốn mọi chuyện trở nên quá muộn.
Tham khảo: Buzz Science
NỔI BẬT TRANG CHỦ
-
Lần đầu tiên, sinh viên Việt Nam phải đắn đo giữa MacBook và Windows ở cùng mức giá 16 triệu đồng
MacBook Neo thắng áp đảo về trải nghiệm, nhưng laptop Windows vẫn giữ lợi thế ở game, phần mềm chuyên ngành và cổng kết nối.
-
MacBook Neo giá 16 triệu đồng, Apple vẫn lời lớn nhờ bán thứ mà người dùng không nhìn thấy