Hàn Quốc nghiên cứu thành công kỹ thuật "chỉnh sửa đơn nguyên tử" đầu tiên trên thế giới, thứ được ví như "bàn tay của Chúa"
Trong hàng ngàn năm, nhân loại đã luôn phải đi đường vòng, sử dụng nhiều bước phản ứng chỉ để thay đổi một nguyên tử duy nhất trong một phân tử. Nhưng kể từ bây giờ, mọi chuyện sẽ thay đổi!
- Nhà toán học Việt Nam có khám phá kép, giúp trường đại học Mỹ duy trì vị thế dẫn đầu thế giới về đại số
- Khám phá tổ hợp LG GROUND220, toạ độ check-in ngay giữa lòng Seoul của giới trẻ Hàn Quốc: Sống khỏe và hiện đại là như thế này!
- Tăng cường hợp tác công nghệ số Việt Nam - Hàn Quốc
- 'Mặt trời nhân tạo' Hàn Quốc lập kỷ lục về thời gian duy trì 100 triệu độ C
- Hàn Quốc thử nghiệm máy tính lượng tử nội địa và phương tiện bay nội đô
Hãy nhìn vào công thức hóa học của hai phân tử này. Chúng chỉ khác nhau đúng một nguyên tử.
Phía bên trái là Furan, một hợp chất hữu cơ thơm, dị vòng 5 nguyên tử, với một carbon (C) được thay thế bằng oxy (O). Đổi nguyên tử oxy này thành nitơ (N), bạn sẽ được Pyrrole - hợp chất ở bên phải:


Furan và Pyrrole.
Mặc dù chỉ khác nhau một nguyên tử nhỏ bé, điểm khác biệt này được coi là "chí mạng".
Bởi Furan vốn là một chất độc, thậm chí có thể gây ung thư cho con người. Nhưng Pyrrole lại là một dược chất, được sử dụng làm thuốc chống ung thư, thuốc giảm đau và thuốc điều trị bệnh tim mạch.
Thật may mắn là bạn sẽ không thể nhầm được chúng với nhau, bởi cùng ở một điều kiện nhiệt độ và áp suất phòng, Furan là chất lỏng trong suốt, còn Pyrrole sẽ có màu đỏ (xin lỗi những giáo viên ra đề thi môn hóa chuyên làm mất nhãn dán của những lọ dung dịch trên bàn). Nhưng đó là cách mà chỉ một nguyên tử có thể thay đổi hoàn toàn tính chất của một hợp chất hóa học.
Đáng buồn là, ở chiều ngược lại, việc thay đổi chỉ một nguyên tử của các hợp chất dị vòng này chưa bao giờ là dễ dàng.
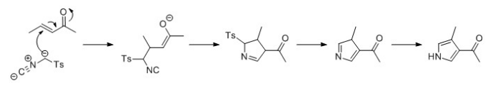
Ví dụ để tạo ra Pyrrole, bạn sẽ cần sử dụng đến phản ứng này:

Hoặc là phản ứng này:

Hoặc chí ít cũng là phản ứng này:

Có một cách để tạo ra Pyrrole trực tiếp từ Furan, là cho nó phản ứng với amoniac (NH3). Nhưng phản ứng này đòi hỏi nhiệt độ cao lên tới 500 độ C, cùng với sự có mặt của các chất xúc tác đắt tiền như SiO2 và Al2O3. Ngoài ra, hiệu suất phản ứng thấp khiến cho phương pháp tổng hợp Pyrrole này khó đạt được tính khả thi về mặt kinh tế.
Dẫu vậy, đó vẫn là cách mà loài người buộc phải sử dụng để sản xuất Pyrrole nói riêng và nhiều dược chất khác nói chung. Trong suốt hàng ngàn năm, kể từ thời đại của những nhà giả kim tới các phương pháp hóa học hiện đại, con người đã luôn phải đi đường vòng, sử dụng nhiều bước phản ứng chỉ để thay đổi một nguyên tử duy nhất trong một phân tử.
Nhưng kể bây giờ, mọi chuyện sẽ thay đổi!

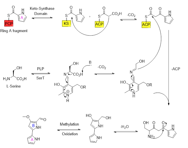
Quá trình chỉnh sửa đơn nguyên tử từng là giấc mơ của các nhà hóa học.
Kỹ thuật phản ứng đơn nguyên tử với hợp chất có vòng thơm
Trong một nghiên cứu đột phá mới được đăng trên tạp chí Science, một nhóm các nhà khoa học đến từ Viện Khoa học và Công nghệ Tiên tiến Hàn Quốc (KAIST) cho biết họ đã phát triển thành công một kỹ thuật chỉnh sửa đơn nguyên tử đầu tiên trên thế giới, cho phép thay đổi trực tiếp một nguyên tử trong một phân tử.
Thử nghiệm phương pháp này với Furan, họ đã biến thành công hợp chất này thành Pyrrole, bằng cách thay thế nguyên tử oxy bằng nguyên tử nitơ, ngay tại nhiệt độ phòng và áp suất khí quyển. Quá trình chỉnh sửa đơn nguyên tử như vậy từng là giấc mơ của các nhà hóa học.
Thậm chí, nó còn được ví với "bàn tay của Chúa", thứ có thể tạo ra các hợp chất phức tạp, bằng một phương pháp đơn giản, dễ dàng như lắp một mảnh Lego.

Giáo sư Yoonsu Park, tác giả nghiên cứu đến từ Viện Khoa học và Công nghệ Tiên tiến Hàn Quốc (KAIST).
Giáo sư Yoonsu Park, tác giả nghiên cứu đến từ Viện KAIST cho biết: "Các hợp chất có vòng thơm có năng lượng ổn định cao đến mức việc thay đổi một nguyên tử này thành một nguyên tử khác từng được coi là điều bất khả thi".
Để làm được điều đó, nhóm nghiên cứu của giáo sư Park đã sử dụng một chiến lược được gọi là "quang xúc tác", nghĩa là lấy ánh sáng làm chất xúc tác cho phản ứng.
Bằng cách sử dụng chất xúc tác acridinium để bắn tia sáng xanh lam vào Furan, giáo sư Park đã tạm thời cắt được vòng thơm của nó, cho phép chèn một nhóm amin NH vào chung vị trí của nguyên tử O.
Sau đó, thông qua một quá trình ngưng tụ, hợp chất cuối cùng sẽ đẩy nguyên tử oxy ra ngoài, bắt cặp với hydro tạo thành nước (H2O), để lại duy nhất nguyên tử N trong vòng thơm tạo thành hợp chất Pyrrole.
"Ở đây, chúng tôi đã trình bày một chiến lược quang xúc tác hoán đổi một nguyên tử oxy của furan với một nhóm nitơ, chuyển đổi trực tiếp furan thành một chất tương tự pyrrole trong một phản ứng liên phân tử duy nhất", giáo sư Park cho biết.

Phản ứng mà các nhà khoa học Hàn Quốc đã sử dụng.
Tại sao khám phá này lại là một cuộc cách mạng cho ngành dược phẩm?
Nhận xét về nghiên cứu mới, Mark Levin, một nhà hóa học hữu cơ tại Đại học Chicago, Hoa Kỳ, cho biết:
"Các phương pháp hiện có cho loại phản ứng chuyển đổi vòng dị vòng này thường đòi hỏi các điều kiện khắc nghiệt, chẳng hạn như nhiệt độ cực cao hoặc bức xạ cực tím. Điều này làm hạn chế khả năng ứng dụng của chúng trong việc tổng hợp các hợp chất hữu cơ phức tạp, do năng suất sản phẩm thấp và phạm vi cơ chất hạn chế.
Phản ứng mới của các nhà nghiên cứu Hàn Quốc là giao thức đầu tiên cho phép chuyển đổi trực tiếp furan thành pyrrole trong điều kiện nhẹ nhàng hơn, khiến nó trở nên thực dụng hơn nhiều đối với nhiều ứng dụng trong hóa học tổng hợp".
Dành riêng một bài viết trong chuyên mục "Góc nhìn", chuyên mục mà tạp chí Science sẽ mời các nhà khoa học độc lập, nổi tiếng và có uy tín trong ngành để nhận xét về một nghiên cứu có tác động lớn hoặc mang tính cách mạng, hai nhà hóa học Ellie F. Plachinski và Tehshik P.Yoon đến từ Đại học Wisconsin-Madison, Hoa Kỳ, cho biết:
"Các đặc tính của một phân tử hoạt tính sinh học phụ thuộc rất nhiều vào sự sắp xếp chính xác của các nguyên tử cấu thành của nó. Ví dụ, việc thay đổi danh tính của một nguyên tử đơn lẻ trong một vòng dị vòng-một vòng phân tử chứa ít nhất một nguyên tố không phải cacbon-có thể ảnh hưởng đến hiệu quả của thuốc".
"Nghiên cứu này có tiềm năng rất mạnh mẽ trong việc tạo ra các quy trình tổng hợp hóa học liên tục, chuyển đổi các phân tử phức tạp và thúc đẩy các khám phá trong lĩnh vực dược phẩm", Plachinski và Yoon nhấn mạnh.

Chỉnh sửa đơn nguyên tử có thể tạo ra vô số dược chất thêm vào dược điển cho con người.
Về phần mình, giáo sư Park nói: "Bước đột phá này đã cho phép chỉnh sửa có chọn lọc các cấu trúc vòng hữu cơ năm cạnh, thứ sẽ mở ra cánh cửa mới cho việc xây dựng thư viện các ứng viên thuốc tiềm năng, một thách thức quan trọng trong ngành dược phẩm. Tôi hy vọng công nghệ nền tảng này sẽ được sử dụng để cách mạng hóa các quy trình phát triển thuốc".
Giống như Furan và Pyrrole, rất nhiều loại thuốc có cấu trúc hóa học rất phức tạp nhưng dược tính của chúng lại chỉ đến từ một nguyên tử duy nhất. Các nguyên tử như oxy và nitơ đóng vai trò trung tâm trong việc tăng cường tác dụng dược lý của các loại thuốc này, đặc biệt là tác dụng chống lại virus.
Nhóm nghiên cứu của giáo sư Park hiện đang thử nghiệm một loạt các quy trình tương tự để chỉnh sửa đơn nguyên tử nhiều hợp chất có gốc Furan và Pyrrole khác nhau. Công việc tiếp theo là thiết kế các lò phản ứng cỡ công nghiệp để thử nghiệm kỹ thuật trên quy mô lớn.
Nếu thành công với khả năng chỉnh sửa từng nguyên tử bên trong một phân tử, và trên quy mô công nghiệp, chúng ta sẽ có thể tạo ra bất cứ loại thuốc nào mà chúng ta muốn, với số lượng không hạn chế.
NỔI BẬT TRANG CHỦ
-
MacBook Neo giá 16 triệu đồng, Apple vẫn lời lớn nhờ bán thứ mà người dùng không nhìn thấy
Doanh thu dịch vụ đang hướng tới mốc 100 tỷ USD mỗi năm, và MacBook Neo chính là cánh cổng đưa hàng triệu người bước vào hệ sinh thái đó.
-
Tin vui cho game thủ: OpenAI cắt siêu dự án, Google nén RAM AI xuống 6 lần - Giá DDR5 giảm mạnh nhất trong một tuần