Mỗi năm sống trong thành phố khiến bạn già đi 410 ngày tuổi: 'Lỗ hổng thời gian' và sự lão hóa của tế bào dưới những khoảng trời bê tông
Trừ khi sống trong một bán kính được Tổ chức Y tế Thế giới (WHO) đề xuất - nơi được ví như những 'lỗ xanh' thành phố - chiếc đồng hồ sinh học trong cơ thể bạn mới quay chậm lại. Bạn sẽ trông trẻ hơn và khỏe mạnh hơn tuổi thật của mình.
- Bí ẩn những xác ướp dị nhất thế giới: Từ lời nguyền xác ướp Pharaoh đến xác ướp "du hành thời gian" có 1-0-2
- Bí ẩn về người "du hành thời gian" trong bức ảnh 82 năm trước, chuyên gia giải mã sự thật bất ngờ
- Giả thuyết toán học mới khẳng định du hành thời gian là bất khả thi, nhưng lại có tiềm năng cho ta một "siêu năng lực" khác
- Câu hỏi của ngày: Chúng ta có thể du hành thời gian hay không?
Có thể bạn đã nghe câu chuyện liên quan đến Thuyết Tương đối của Einstein, rằng các phi hành gia - sau khi trở về từ chuyến du hành của mình - sẽ trẻ hơn những người ở Trái Đất vài chục tuổi.
"Bố từng nói với con vào ngày bố trở lại, chúng ta có thể sẽ bằng tuổi nhau", Murph đã nói vậy với bố mình, phi hành gia Cooper trong Interstellar (2014) khi anh đang trên đường tiến về phía lỗ đen Gargantua, thứ chắc chắn sẽ bóp méo không thời gian và khiến họ già đi với tốc độ khác hẳn nhau.

Phi hành gia Cooper (35 tuổi) vào thời điểm anh chia tay con gái của mình, Murph (10 tuổi) để lên tàu The Endurance.

Sau hành trình kéo dài khoảng 5 năm tiến tới lỗ đen Gargantua rồi trở về, Cooper mới chỉ ngoài 40, trong khi con anh, Murph giờ đã 99 tuổi.
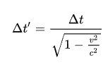
Cũng chẳng cần một ví dụ từ phim ảnh, thực tế ngay lúc này, khi các phi hành gia làm việc trên Trạm Vũ trụ Quốc tế (ISS) di chuyển quanh Trái Đất với tốc độ 28.000 km/h, tính theo công thức:

họ cũng đang trẻ hơn những người ở bên dưới mặt đất chúng ta 0,01 giây mỗi năm.
Thuyết Tương đối hẹp của Einstein cho thấy nếu bạn di chuyển càng nhanh, tiệm cận với tốc độ ánh sáng, hoặc khi bạn ở gần một vật thể có khối lượng càng lớn như các ngôi sao hoặc lỗ đen, thời gian mà bạn trải nghiệm sẽ càng chậm lại.
Nói cách khác, bạn sẽ trẻ hơn những người đang trải qua dòng thời gian bình thường trên Trái Đất. Đó là cách mà vật lý trong vũ trụ này vận hành.

Theo Thuyết Tương đối của Einstein, bạn càng ở gần một vật thể có khối lượng càng lớn như các ngôi sao hoặc lỗ đen, thời gian mà bạn trải nghiệm sẽ càng bị bóp méo để trôi chậm lại.

Nếu bạn rời Trái Đất, trên một con tàu vũ trụ bay với tốc độ trung bình 0,8 lần tốc độ ánh sáng, 12 năm sau khi bạn trở về, bạn sẽ trẻ hơn những người ở nhà tới 8 tuổi. Bởi thực tế Trái Đất đã trải qua 20 năm kể từ ngày bạn rời đi.
Thế nhưng, đây mới chỉ là tuổi tác vật lý được tính bằng con số. Trên thực tế, chúng ta thấy có những người bằng tuổi nhau mà trông vẻ ngoài vẫn trẻ và khỏe mạnh hơn những người bạn cùng trang lứa. Ngược lại, một số người sẽ bị đánh giá là trông già trước tuổi.
Sinh học dường như đang vận hành theo một công thức phức tạp hơn rất nhiều so với vật lý. Ngoài tuổi thật tính bằng năm tháng, các nhà khoa học trong lĩnh vực này nói rằng: Mỗi người chúng ta còn có tuổi sinh học, tính bằng độ trẻ của từng tế bào trên cơ thể.
Tuổi sinh học này phụ thuộc vào nhiều yếu tố, trong đó có một yếu tố quan trọng là môi trường sống. Và một nghiên cứu trên tạp chí Khoa học và Môi trường mới đây cho biết bạn chẳng cần phải ra ngoài vũ trụ hay tiến gần tới một lỗ đen để kéo dài thanh xuân của mình.
Thay vào đó, chỉ cần chọn một không gian sống gần gũi với thiên nhiên, tránh xa khói bụi thành phố là bạn đã có thể trẻ ra từ 2-5 tuổi.

Nghiên cứu cho thấy một không gian sống gần gũi với thiên nhiên, tránh xa khói bụi thành phố sẽ giúp bạn trẻ lâu.
Ngược lại, các phân tích dựa trên kết quả xét nghiệm máu cho thấy khi sống trong các đô thị bê tông hóa, thiếu không gian xanh và cây cối, tốc độ lão hóa của cơ thể bạn sẽ tăng thêm 12,5%. Nghĩa là trung bình cứ một năm trôi qua, bạn sẽ già đi 410 ngày tuổi.
Cứ 10 năm sống trong thành phố, bạn sẽ bị già đi 11,25 năm. Con số là 22,5 tuổi sau 20 năm và 45 tuổi sau 40 năm. Trung bình, cứ sau một ngày 24 tiếng, bạn lại già đi 27 giờ tuổi. Hiệu ứng này đã được các nhà khoa học đo đạc trên cấp độ tế bào, bất chấp tuổi tác thật, điều kiện kinh tế và lối sống.
Vì vậy, bằng một nguyên nhân bí ẩn nào đó, việc sống và làm việc bên trong các đô thị bê tông, thiếu đi kết nối với thiên nhiên và ít nhìn thấy khoảng xanh trong tầm mắt đang khiến chúng ta già đi nhanh hơn.

Bằng một nguyên nhân bí ẩn nào đó, việc sống trong các đô thị bê tông đang khiến chúng ta già đi nhanh hơn. Ảnh: Tri thức và cuộc sống.
Dựa trên kết quả nghiên cứu này, các kiến trúc sư đang đề xuất nhiều phương án thiết kế không gian xanh gắn liền với thành phố, nhằm hạn chế hiệu ứng tiêu cực từ quá trình đô thị hóa lên sức khỏe và tuổi thọ con người.
Tổ chức Y tế Thế giới (WHO) thậm chí đề xuất một khu vực bán kính xanh trong thành phố mà bạn có thể sống trong đó. Giống với những lỗ đen của vũ trụ, "lỗ xanh" khổng lồ này là nơi thời gian sinh học của bạn có thể trôi chậm hơn, giúp bạn trẻ hơn và khỏe mạnh hơn tuổi thật của mình.
1. Cơ thể bạn lão hóa nhanh hơn từ 12-16% khi sống trong thành phố bê tông hóa
Đó là phát hiện của các nhà khoa học đến từ Trường Y khoa Feinberg, Đại học Northwestern (Hoa Kỳ) sau khi thực hiện một hồi cứu kéo dài 20 năm trên người dân ở 4 thành phố lớn tại Mỹ.
Birmingham, Chicago, Minneapolis và Oakland là những thành phố có tốc độ đô thị hóa nhanh trong cuối thế kỷ 20. Do đó, các nhà khoa học đã chọn đây là địa điểm để làm khảo sát.
Họ đã thu thập 900 mẫu máu của người dân sống tại những địa điểm ngẫu nhiên trong thành phố, sau đó xét nghiệm gen để đánh giá tuổi sinh học của họ - thông qua một chỉ số gọi là methyl hóa DNA.


Càng có nhiều nhóm methyl trên DNA, bạn càng già hơn tuổi thật của mình.
Có thể hiểu đơn giản, methyl hóa DNA là việc tích lũy các nhóm methyl (CH3) vào DNA và khiến DNA bị "tắt", từ đó dẫn tới quá trình suy giảm chức năng trong cơ thể.
Thông thường, quá trình này xảy ra một cách tự nhiên khi cơ thể chúng ta già đi. Do đó, methyl hóa DNA còn được dùng như một thước đo để đánh giá tốc độ lão hóa của cơ thể - và nó chính xác hơn cả tuổi thật tính bằng năm sinh của chúng ta.
Các nhà khoa học gọi tuổi họ xác định được qua quá trình methyl hóa DNA là "tuổi sinh học". Có những người có tuổi sinh học trẻ hơn tuổi thật và ngược lại, có những người thực sự già hơn số năm mà họ đã sống.
Đối với các bác sĩ, tuổi sinh học là một công cụ giúp dự đoán nhiều yếu tố sức khỏe, từ bệnh tim mạch, ung thư cho đến chức năng não bộ. Và các dự báo mà nó đưa ra thuyết phục hơn rất nhiều so với tuổi theo năm mà bệnh nhân ghi trong hồ sơ y tế.

Tuổi sinh học là thước đo giúp dự đoán sức khỏe, bệnh tật và tuổi thọ tốt hơn tuổi thật.
Vì vậy, nghiên cứu đăng trên tạp chí Science Advances đã cố gắng xác định tuổi sinh học của 900 người dân sống trong 4 thành phố lớn tại Mỹ, đồng thời đối chiếu khu vực mà họ sinh sống với ảnh chụp vệ tinh trong vòng 20 năm, kể từ năm 1986-2006.
Kết quả cho thấy vào năm thứ 15-20 sau quá trình đô thị hóa, khi mà mẫu máu được thu thập lại, những người còn sống trong bán kính 5 km với độ che phủ cây xanh giảm xuống chỉ còn 20% đã có tuổi sinh học già hơn 2,5 năm so với những người sống trong khu vực còn giữ được 30% diện tích cây cối.
Tính ra, việc sống thiếu không gian xanh có thể khiến chúng ta già đi nhanh hơn từ 12,5% cho tới 16,7%. Nếu ai đó sống trong đô thị 40 năm, họ sẽ già đi ít nhất 5 tuổi sinh học so với những người cùng trang lứa nhưng sống ở quê, vùng ngoại thành hoặc khu vực có không gian xanh rộng rãi.
Và có một tin xấu đối với nhóm người có tuổi sinh học cao này, đó là họ sẽ phải đối mặt với nguy cơ cao hơn mắc các bệnh liên quan đến lão hóa như tim mạch, bệnh Alzheimer và tất cả các loại ung thư nói chung.


Chicago mất dần những khoảng không gian xanh trong quá trình đô thị hóa ở cuối thế kỷ 20, đầu thế kỷ 21.
"Chúng tôi tin rằng phát hiện này có ý nghĩa quan trọng đối với công tác quy hoạch đô thị. Chúng ta phải làm sao để mở rộng các cơ sở hạ tầng xanh để giúp người dân tăng cường sức khỏe và giảm thiểu các chênh lệch liên quan đến điều kiện sống", giáo sư Kyeezu Kim, tác giả chính của nghiên cứu tại Trường Y khoa Feinberg thuộc Đại học Northwestern cho biết.
2. Sống gần không gian xanh giữ cho từng tế bào trên cơ thể bạn trẻ ra
Nghiên cứu của giáo sư Kim không phải là công trình duy nhất chỉ ra mối liên hệ giữa việc sống gần không gian xanh với sức khỏe. Đăng trên tạp chí Science of the Total Environment, một nghiên cứu mới đây cũng chỉ ra lợi ích của cây xanh đối với tuổi thọ của… thậm chí từng tế bào trên cơ thể người.
Các nhà khoa học đến từ Đại học Bắc Carolina đã khảo sát 7.827 người và môi trường sống của họ để thấy những người sống ở khu vực có nhiều công viên, vườn, cây cối và các thảm thực vật sẽ có chiều dài telomere lớn hơn.
Telomere là các đoạn DNA lặp lại được tìm thấy ở đầu mỗi nhiễm sắc thể trong tất cả 46 nhiễm sắc thể của chúng ta. Nó được ví như những đầu nhựa của dây giày, thứ giữ cho chuỗi xoắn kép của DNA không bị tõe ra giống như những chiếc dây giày quá cũ.
Theo thời gian, cứ mỗi lần tế bào phân chia, các telomere bên trong cơ thể bạn đều trở nên ngắn hơn một chút. Vì vậy, các nhà khoa học cũng sử dụng chiều dài telomere – bên cạnh quá trình methyl hóa DNA - để tính toán độ tuổi sinh học của các tế bào.

Cơ chế tính tuổi sinh học bằng độ dài telomere nhiễm sắc thể.
Chiều dài telomere càng lớn, bạn sẽ càng trẻ và ngược lại. Những người có telomere càng ngắn thì càng già, cho đến khi chúng trở nên quá ngắn và tõe ra như những sợi dây giày thì nhiễm sắc thể của họ sẽ không còn phân chia được nữa. Tế bào lúc đó sẽ chết.
"Điều này làm cho telomere trở thành dấu hiệu quan trọng của tuổi sinh học hoặc mức độ hao mòn của tế bào của chúng ta", nhà địa lý học Scott Ogletree đến từ Đại học Edinburgh giải thích. "Chúng tôi biết nhiều yếu tố - chẳng hạn như căng thẳng - có thể ảnh hưởng đến tốc độ hao mòn telomere".
Và việc sống gần không gian xanh có thể giúp con người giảm thiểu căng thẳng theo nhiều cách.
Thứ nhất, bản thân cây xanh đang giữ cho môi trường sống xung quanh chúng ta mát mẻ hơn, giảm thiểu ô nhiễm không khí và ô nhiễm tiếng ồn.
Tiếp theo, các khu vực như công viên và khuôn viên xanh khuyến khích mọi người đi tới đó để thực hiện các hoạt động thể chất, từ tập thể dục, dẫn thú cưng đi dạo hoặc đơn giản là tới đó để hít thở.
Tại đây, nhiều tương tác xã hội cũng được thực hiện, như việc mọi người có thể gặp gỡ, trò chuyện và giải tỏa căng thẳng.



Không gian xanh đem lại nhiều lợi ích sức khỏe.



Trái ngược với đó, những khoảng trời bê tông sẽ khiến chúng ta già đi nhanh hơn. (Ảnh: Tri thức và cuộc sống).
Catharine Ward Thompson, một giáo sư kiến trúc cảnh quan tại Đại học Edinburgh ở Scotland cho biết não bộ con người dường như đã được lập trình để cảm thấy dễ chịu với màu xanh của thảm thực vật.
Hàng triệu năm trước, khi tổ tiên của chúng ta những người Homo Sapien trở về từ chuyến đi săn vất vả, họ có lẽ đã ngồi trước cửa hang và nhìn vào khoảng xanh bao la trước mặt. Màu xanh của thực vật đã in hằn vào bộ gen của chúng ta kể từ đó, kích thích phản ứng nghỉ ngơi, thư giãn.
"Đó là lý do bạn thấy những khuôn viên xanh là nơi mình có thể đến để giải tỏa căng thẳng, tạm bỏ những gánh nặng cuộc sống của mình xuống", giáo sư Thompson nói. "Ánh sáng chiếu trên lá, xuyên qua những tán cây xuống nền rừng, tiếng sóng biển vỗ bờ, hoặc những con ong nhảy múa trên những cách hoa - tất cả những yếu tố đó là thứ mà chúng ta có thể tận hưởng mà không cần tiêu tốn một chút sức lực nào"
Vì vậy, bằng cách cho phép mình thưởng ngoạn cảnh quan, âm thanh, hoặc mùi vị của thiên nhiên, tâm trí của chúng ta sẽ có cơ hội được nghỉ ngơi và hồi phục. Những khoảng xanh lá cây trong tầm mắt đã được chứng minh có tác dụng giúp thư giãn, gia tăng sự tập trung và nạp lại năng lượng khi chúng ta bị kiệt sức.

Không gian xanh có thể giúp tuổi sinh học của một người giảm xuống từ 2,2 đến 2,6 năm.
Ogletree vì vậy không quá ngạc nhiên khi thấy các không gian xanh như công viên, bãi cỏ, vườn tược có thể giúp mọi người trẻ hơn trong nghiên cứu của mình. "Xét đến tốc độ lão hóa trung bình trong mẫu, không gian xanh có thể giúp tuổi sinh học của một người giảm xuống từ 2,2 đến 2,6 năm", ông nói.
3. Đi tìm những "lỗ xanh" trong thành phố: Nơi đồng hồ sinh học của bạn trôi chậm lại
Dựa trên những bằng chứng về lợi ích của không gian xanh đã được chứng minh, năm 2016, Tổ chức Y tế Thế giới (WHO) đã đề xuất một bán kính sinh sống lý tưởng trong các thành phố. Đó là vùng đệm trong khoảng 300 m, xung quanh một khoảng không gian xanh rộng ít nhất từ 0,5-1 hecta, cho phép bạn đi bộ từ nhà đến đó chỉ mất 5 phút.
Để biết bạn có đang sống trong bán kính xanh mà WHO đề xuất hay không, hãy mở Google Maps và thực hiện một khảo sát nhỏ.
Đầu tiên, bạn cần tìm tới công viên, vườn hoa hoặc một khu vực có thảm thực vật gần nhất nhà mình. Sau đó, hãy sử dụng công cụ đo khoảng cách để khoanh vùng xem diện tích của công viên đó có lớn hơn 0,5 hecta (tương đương 5.000 mét vuông) hay không?
Ví dụ, Vườn hoa Con Cóc ở gần Hồ Gươm, Hà Nội có diện tích đúng 5.000 mét vuông, nhưng Vườn hoa Cổ Tân và Vườn hoa Bác Cổ gần đó không đủ diện tích để được coi là một không gian xanh đủ công năng, tác dụng.


Công cụ đo khoảng cách của Google Maps cho thấy Vườn hoa Con Cóc ở gần Hồ Gươm, Hà Nội có diện tích đúng 5.000 mét vuông. Nhưng Vườn hoa Cổ Tân và Vườn hoa Bác Cổ gần đó không đủ diện tích để được coi là một không gian xanh đủ công năng, tác dụng.
Bản thân tổ hợp Hồ Gươm, Tượng đài Lý Thái Tổ là một không gian xanh rộng tới 177.000 mét vuông. Nên chúng ta có thể khoanh vùng một bán kính 300 mét xung quanh tổ hợp này, để tìm ra khu vực sinh sống lý tưởng nhất, theo Tổ chức Y tế Thế giới (WHO).
Nếu vậy, đây sẽ là ước tính tạm thời cho bán kính sống lý tưởng xung quanh tổ hợp không gian xanh Hồ Gươm, Tượng Đài Lý Thái Tổ, Vườn hoa Con Cóc và Vườn hoa Hàng Trống:

Ảnh minh họa.
Bạn có thể tự làm một ước tính tương tự cho không gian sống gần khu vực nhà mình.
Nếu nhà bạn nằm trong bán kính này, xin chúc mừng vì bạn có thể sẽ được hưởng lợi ích từ đó. Nhiều khả năng bạn sẽ trẻ hơn những người cùng tuổi nhưng sống ngoài phạm vi phủ sóng của vùng xanh.
Thế nhưng, còn một điều cuối cùng phải lưu ý, đó là để gặt hái được lợi ích sức khỏe từ không gian xanh, bạn phải ghé thăm chúng thường xuyên. Sẽ là vô nghĩa nếu bạn sống gần một công viên mà chẳng bao giờ đến đó.
Việc đi bộ ra công viên rồi ngồi xuống bấm điện thoại cũng sẽ khiến cho lợi ích của không gian xanh bị giảm sút. Do đó, các nhà nghiên cứu đề xuất các thành phố cần phải được quy hoạch để không chỉ có nhiều không gian xanh hơn, mà còn khiến chúng phải trở nên hấp dẫn hơn để người dân không chỉ đến đó bấm điện thoại.
Các công viên cần phải được thiết kế thân thiện, với nhiều hạng mục khuyến khích vận động thể chất như đường dành cho xe đạp, vỉa hè cho người đi bộ, máy tập thể dục, nhà vệ sinh…


Trong tương lai, các thành phố nên được thiết kế sao cho bất kể ngôi nhà nào cũng có thể nhìn ra một không gian xanh trước mặt.
Ngoài ra, trong tương lai, các thành phố được xây dựng mới nên được quy hoạch sao cho mỗi người dân đều có thể nhìn thấy một thảm thực vật xanh ngay trước cửa nhà mình.
Những khoảng xanh trong tầm mắt - thay cho màu xám của bê tông và cửa kính - chắc chắn sẽ tác động lên đồng hồ sinh học trong cơ thể mỗi cư dân thành phố, giúp họ trẻ hơn và khỏe mạnh hơn, theo những cơ chế sinh học đã được ấn định trong bộ gen con người.
NỔI BẬT TRANG CHỦ
-
Cũng dùng một loạt iPhone để quay, album trailer “HVL” của đạo diễn Việt khác gì bom tấn điện ảnh 28 Years Later?
Một công cụ, hai cách tiếp cận: album trailer “HVL” và 28 Years Later cho thấy sự khác biệt không đến từ thiết bị, mà từ cách nó được sử dụng.
-
Apple và MCK hợp tác thực hiện album trailer 360 độ quay bằng 8 chiếc iPhone 17 Pro